



RD1010
Transform your open differential into a real clutch-type LSD
BMW never offered a limited-slip differential for the 188K types from factory — until now. The RacingDiffs All-Solution LSD Unit brings true LSD performance to medium-case differentials such as type 188K across numerous BMW models including E46, E39, E38, X3 E83, X5 E53, and Z4 E85/E86.
This drop-in unit replaces your factory open carrier with a fully forged, clutch-type differential core that delivers maximum traction and race-grade reliability — while staying civil on the street. It uniquely combines up to 100% lock under full throttle with zero noise or chatter in tight turns, striking the ideal balance between performance and comfort.
| Differential types | BMW 188K |
| Lock type | Clutch-type LSD, fully forged internals |
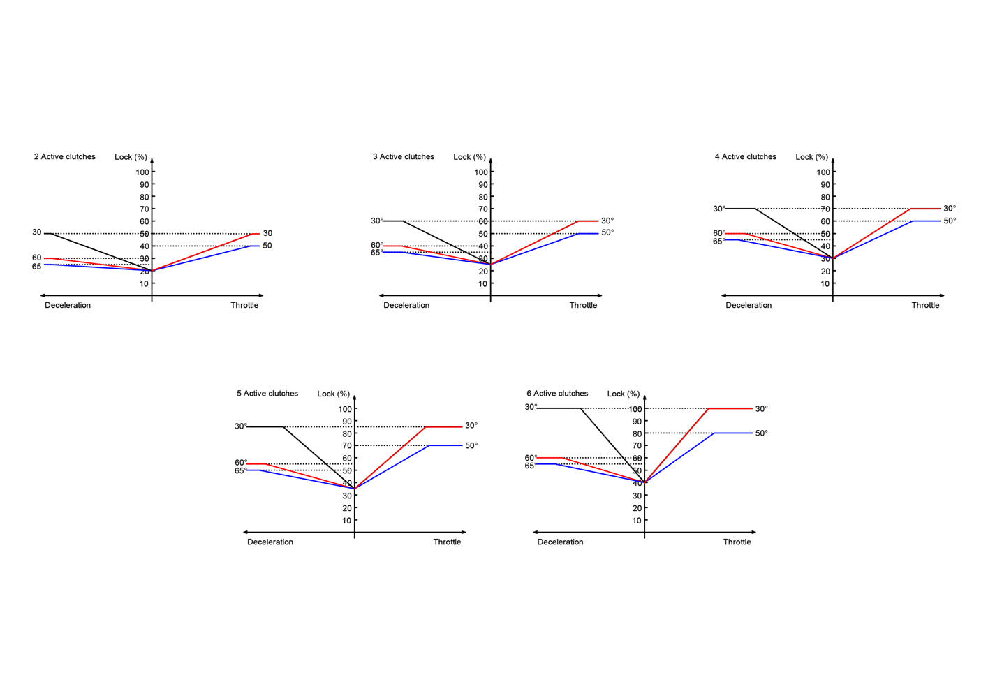
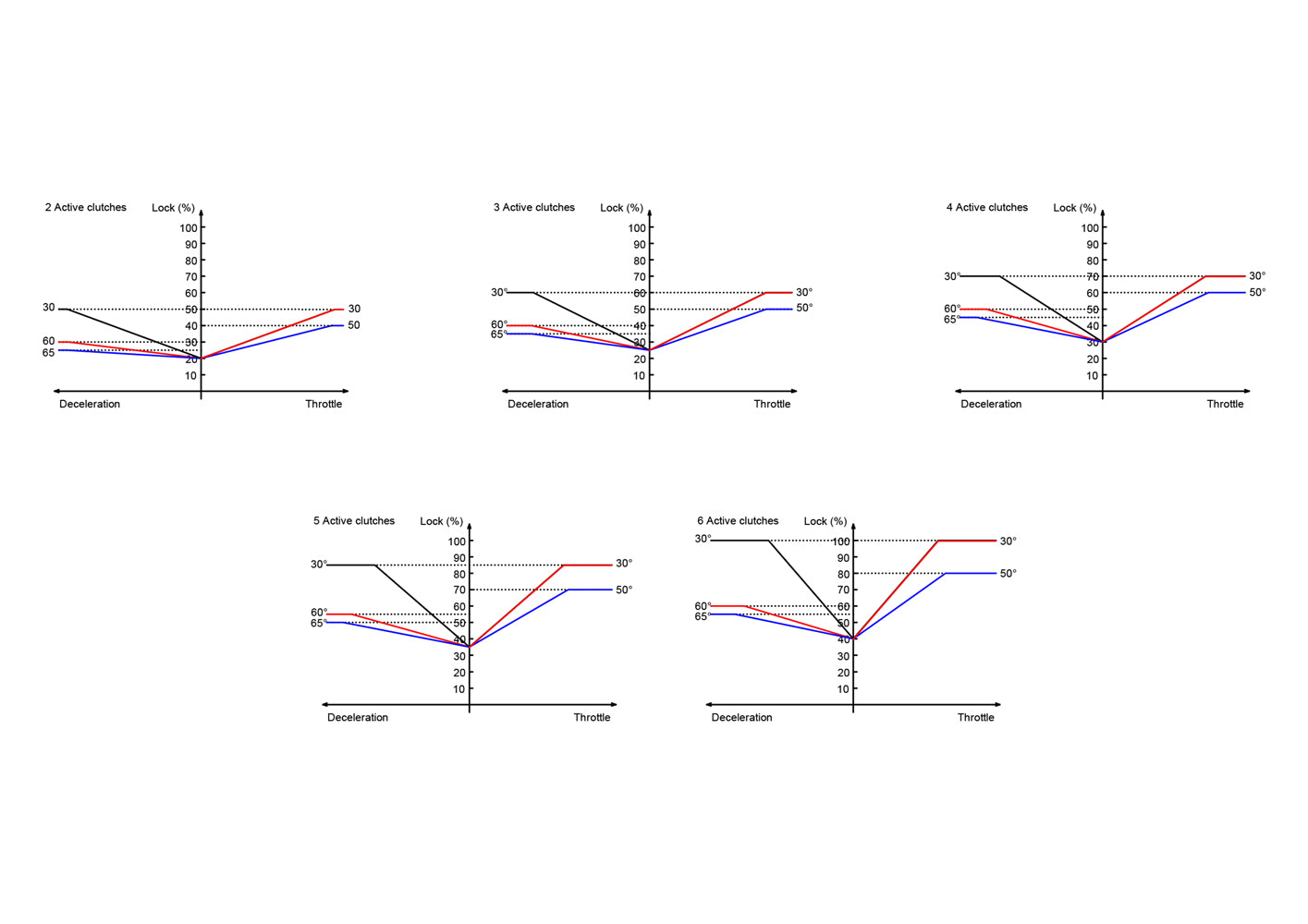
| Ramp options | 30/60, 30/30, 50/65 |
| Max lock | Up to 100% under full throttle |
| Carrier preload | Set to 1 Nm |
| Backlash | 0.06–0.08 mm at ring gear (measure with dial indicator) |
| Required parts | Backlash Adjustment C-Clip Set (for setting backlash & preload) + new OEM-spec side (carrier) oil seals + bearings (optional) |
Compatible with BMW differentials of type 188K. Grouped by chassis for clarity.
320Cd M47N · 320d M47 · 320d M47N · 320td M47N · 323Ci M52 · 323i M52 · 323i 2.4 M52 · 325Ci M54 · 325Ci M56 · 325i M54 · 325i M56 · 325ti M54 · 325xi M54 · 328Ci M52 · 328i M52 · 330Ci M54 · 330i M54 · 330xd M57 · 330xd M57N · 330xi M54
520d M47 · 520i M52 · 520i M54 · 523i M52 · 523i 2.4 M52 · 525d M57 · 525i M54 · 525td M51 · 525tds M51 · 528i M52 · 530i M54 · 535i M62
725tds M51 · 728i M52 · 728iL M52 · 735i M62 · 735iL M62
X3 2.5i M54 · X3 3.0d M57N · X3 3.0i M54
X5 3.0d M57 · X5 3.0d M57N · X5 3.0i M54 · X5 4.4i M62 · X5 4.4i N62 · X5 4.6is M62
Z4 2.2i M54 · Z4 2.5i M54 · Z4 3.0i M54 · Z4 3.0si N52
To confirm your differential’s final-drive (gear) ratio, just look it up in the BMW parts catalog, and follow this quick video guide.