


RD1001
Unlock the full potential of your BMW with RacingDiffs’ BMW 168mm Limited Slip Differential (LSD) Unit. Engineered for drivers who demand performance, durability, and adaptability, this fully forged, adjustable LSD delivers unparalleled control and efficiency on street and track.
Unmatched Durability: Fully forged internals and housing (premium forged materials) provide exceptional strength and longevity under demanding conditions.
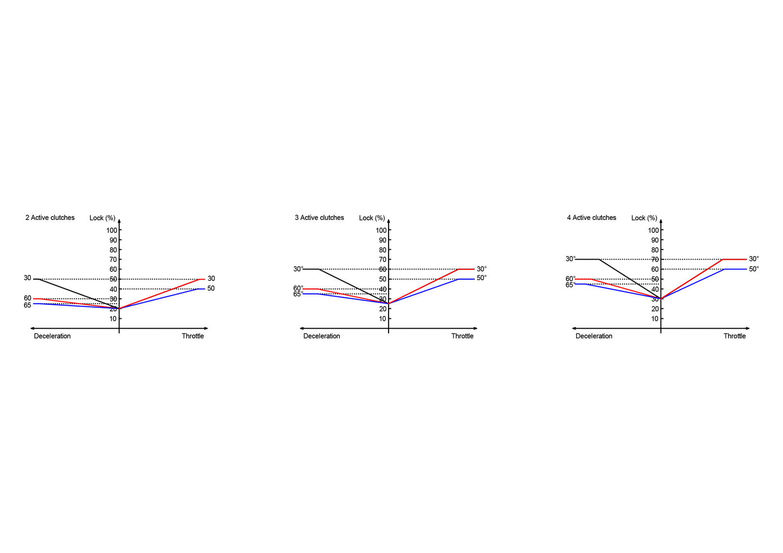
Customizable Performance: Three ramp-angle settings let you tailor lock behavior to your driving:
State-of-the-Art Clutch Pack (Lifetime Warranty): Equipped with four Molybdenum-ceramics clutch plates for reliable, heat-resistant performance—backed by a lifetime warranty.
Noise-Free Operation: With optimal preload and high-quality LSD oil (e.g., Ravenol Racing 75W-140), the unit runs without unwanted noise or vibration.
| Differential size | BMW 168 mm |
| Ramp options | 30/30 (2-way), 30/60 (1.5-way), 50/65 (smooth lock) |
| Clutch pack | 4 × molybdenum-ceramics clutch plates (lifetime warranty) |
| Oil recommendation | Ravenol Racing 75W-140 (or equivalent high-quality LSD oil) |
| Backlash target | 0.06–0.08 mm on most BMW ring-and-pinion sets |
*If your exact year/market is not listed, contact us to confirm 168 mm differential compatibility.
*Due to continued product improvement, the product illustrated in photos may vary slightly from the actual product.