



RD1002
Elevate your BMW’s capabilities with RacingDiffs’ BMW 188mm Limited Slip Differential (LSD) Unit. Tailored for enthusiasts seeking peak performance, durability, and adaptability, this fully forged, adjustable LSD transforms your drive on road and track.
Forged to Last: Fully forged internals and housing provide extraordinary strength and longevity—reliability when you need it most.
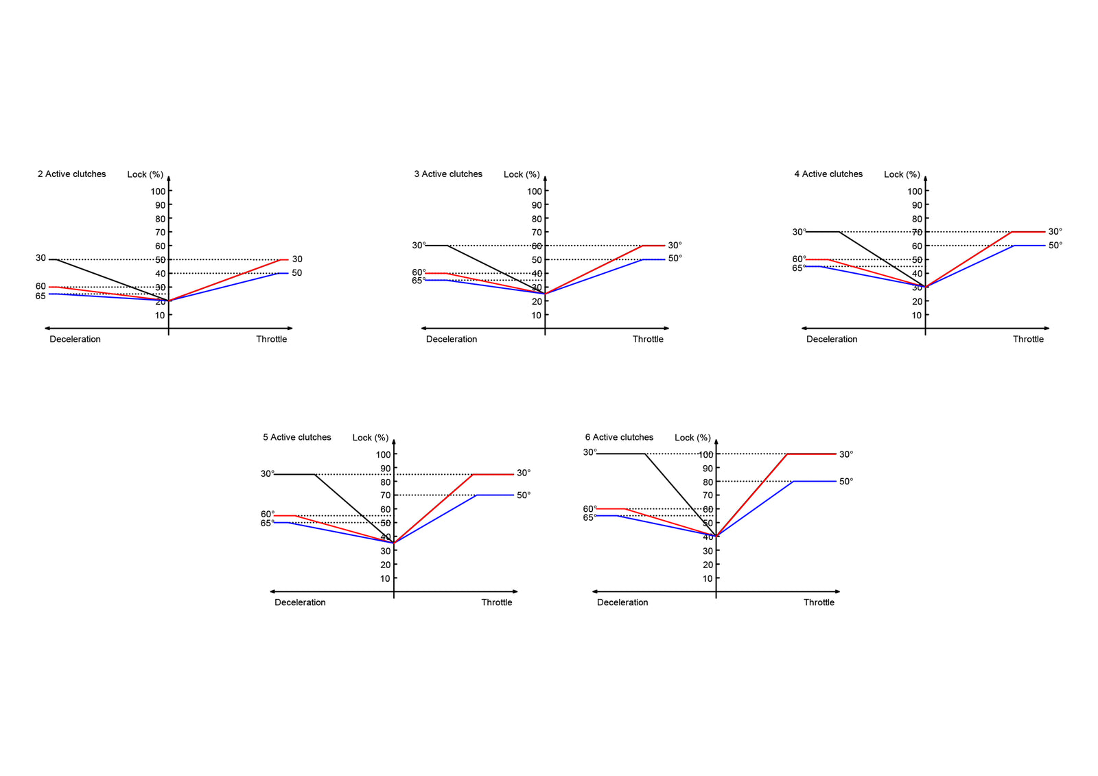
Adaptable Performance: Three ramp-angle settings let you tailor behavior to your driving style:
Innovative Clutch Pack (Lifetime Warranty): Equipped with six Molybdenum-ceramics clutch plates for sustained peak performance in any conditions—covered by our lifetime warranty.
Quiet, Composed Operation: With optimal preload and quality LSD oil (e.g., Ravenol Racing 75W-140), the unit runs without unwanted noise or vibration.
| Differential size | BMW 188 mm |
| Ramp options | 30/30 (2-way), 30/60 (1.5-way), 50/65 (smooth lock) |
| Clutch pack | 6 × molybdenum-ceramics clutch plates (lifetime warranty) |
| Oil recommendation | Ravenol Racing 75W-140 (or equivalent high-quality LSD oil) |
| Backlash target | 0.06–0.10 mm on most BMW ring-and-pinion sets |
*If your exact year/market is not listed, contact us to confirm 188 mm differential compatibility.
*Due to continued product improvement, the product illustrated in photos may vary slightly from the actual product.