Apparel
Accessories
  • Try our new Cork Yoga Brick for soft but solid support

  • Check out our full lineup of yoga accessories to help you with your daily meditation practice and fitness goals...

  • Shop
  • Mega menu

  • Time to get excited about our new collection for Men!

  • tetasidjaslkihsdlkjfhsdf gjkhsdfgjklsdhfgjkl shdfgjklhsdfgjkl hsdfjklg hsdfkjlg hsdfjklg hsdfjkl ghsdfjkl ghsdfjklgh

  • BMW 215K/L LSD | Clutch-type, Fully adjustable

    RD1009

    Introducing the All-Solutions Limited Slip Differential Unit for BMW 215K/L: Engineered for Unmatched Performance and Durability

    Elevate your driving experience with the All-Solution Limited Slip Differential (LSD) Unit for BMW 215K/L, a pinnacle of automotive engineering designed for enthusiasts demanding the utmost in performance and reliability. Crafted from fully forged materials, this differential unit sets a new standard for strength and durability, ensuring your vehicle operates at peak efficiency under all conditions.

    BMW 215K/215L LSD unit offering 100% max lock with zero noise – RacingDiffs high-performance limited slip differential.

    Fully Forged for Supreme Strength Constructed with both internals and housing made from high-quality forged materials, this LSD unit is built to last. This robust construction offers unparalleled durability and resistance against wear, making it a reliable upgrade for your vehicle even if you run over 1000 Horse Power.

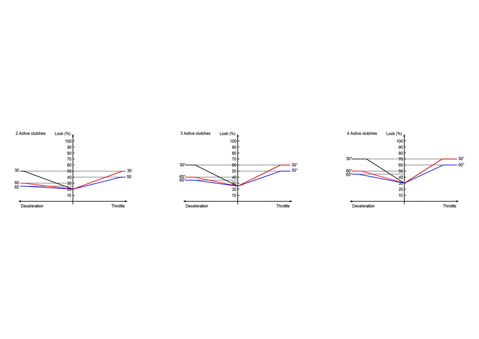
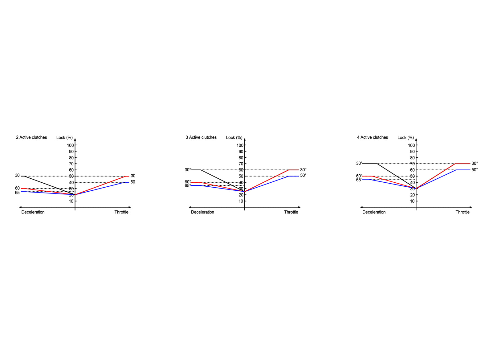
    Versatile and Fully Adjustable Adaptability is at the heart of the BMW 215K/L LSD Unit. With three distinct ramp angle positions, this differential caters to a wide range of driving styles and applications:

    • 30/30 Setting: An aggressive 2-way setup, perfect for drifting enthusiasts seeking maximum performance.
    • 30/60 Setting: A versatile 1.5-way setup, optimized for hill climbing, rally, circuit racing, time attack, and those new to drifting.
    • 50/65 Setting: Ideal for drivers seeking a smoother locking mechanism for both street use and track days, providing a balanced blend of performance and comfort.

    Premium Clutch Plates with Lifetime Warranty Equipped with four Molybdenum-ceramics clutch plates, the BMW 215K/L LSD Unit promises exceptional performance and reliability. We stand behind the quality of our product with a Lifetime Warranty on these clutch plates, offering peace of mind and confidence in your investment.

    Optimal Preload and Noise-Free Operation Designed with an optimal preload level, the BMW 215K/L LSD Unit operates seamlessly, especially when paired with high-quality LSD oil such as Motul Gear Competition 75w140. This ensures a noise and vibration-free experience, allowing you to enjoy the pure performance of your vehicle.

    Seamless Fit for 215K Differential Types This differential unit is engineered to fit seamlessly into 215K/L differential types with a 2.81 ratio and shorter, providing a hassle-free upgrade path for your vehicle.

    Fitment list: 

    • E82 135i N54 (manual transmission)
    • E46: 330d (automatic transmission)
    • E90, E91, E92, E93: 335d, 335i, 335Xi 
    • E39: 530d (automatic transmission), 540i, 540iP
    • E60, E61: 540i, 545i, 550i
    • E63, E64: 645ci, 650i
    • E38: 740i, 740iL, 750i, 750iL
    • E65: 730d, 735i, 740d, 745d, 745i, 750i, 760i
    • E53 4.8is
    • E52 Z8

    Whether you're tearing up the track, conquering hills, or enjoying a spirited drive on the street, the BMW 215K/L Limited Slip Differential Unit is the ultimate upgrade for your vehicle. Experience unmatched performance, durability, and versatility with this state-of-the-art differential unit.

    Installation Note – Setting Backlash & Gear Contact

    To finish the swap you’ll need the correct carrier-adjustment C-clips.
    These shims let you:

    • Dial-in factory backlash (0.08 – 0.12 mm on most BMW ring-and-pinion sets)
    • Center the ring gear for a perfect gear-contact pattern
    • Eliminate whine, premature wear and heat build-up

    TIP: We stock complete C-clip packs in 0.1 mm increments so you can fine-tune preload and backlash without hunting for OEM spacers.

    Watch before you wrench: Our 13-minute installation video walks you through pressing bearings, measuring backlash with a dial indicator, selecting shims, and checking contact with marking compound.

    *Due to continued product improvement, the product illustrated on the photo may vary slightly from the actual product.