




RD1002
Upgrade your BMW E30, E36, E34 or Z3 with a high-performance 188mm Limited Slip Differential (LSD), designed for 6-cylinder models and drivers who demand real traction. Whether you're drifting, building a track car or improving street performance, this clutch-type LSD delivers consistent lock, better stability and eliminates one-wheel spin under load.
Forged to Last: Fully forged internals and housing provide extraordinary strength and longevity—reliability when you need it most.
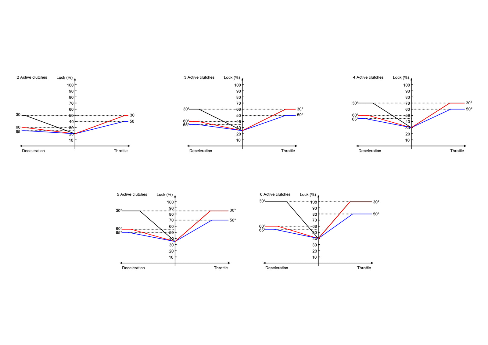
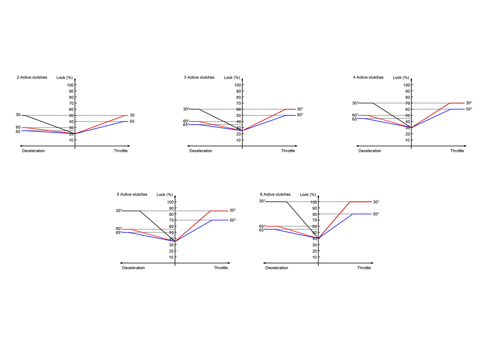
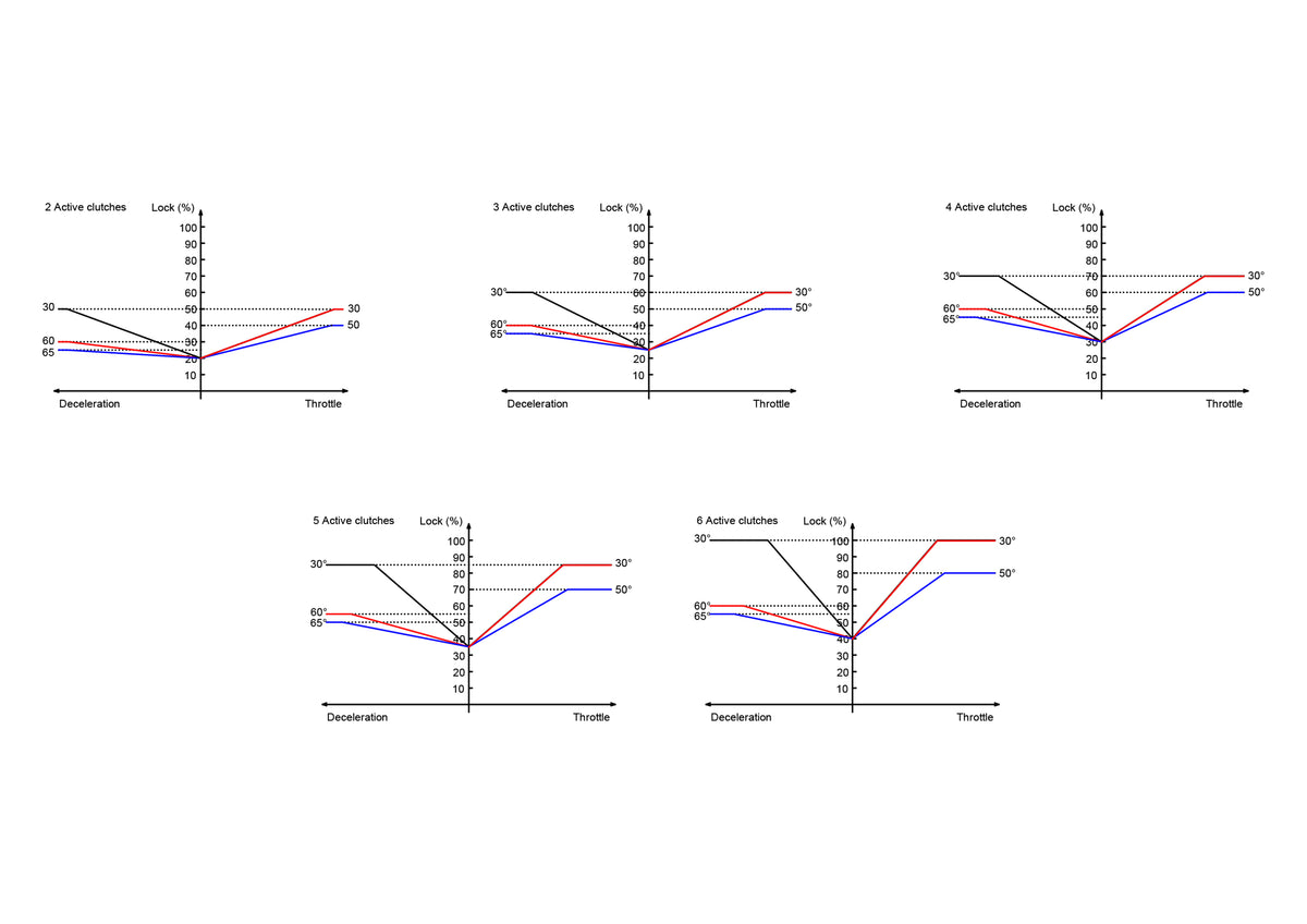
Adaptable Performance: Three ramp-angle settings let you tailor behavior to your driving style:
Innovative Clutch Pack (Lifetime Warranty): Equipped with six Molybdenum-ceramics clutch plates for sustained peak performance in any conditions—covered by our lifetime warranty.
Quiet, Composed Operation: With optimal preload and quality LSD oil (e.g., Ravenol Racing 75W-140), the unit runs without unwanted noise or vibration.
| Differential size | BMW 188 mm |
| Ramp options | 30/30 (2-way), 30/60 (1.5-way), 50/65 (smooth lock) |
| Clutch pack | 6 × molybdenum-ceramics clutch plates (lifetime warranty) |
| Oil recommendation | Ravenol Racing 75W-140 (or equivalent high-quality LSD oil) |
| Backlash target | 0.06–0.10 mm on most BMW ring-and-pinion sets |
*If your exact year/market is not listed, contact us to confirm 188 mm differential compatibility.
*Due to continued product improvement, the product illustrated in photos may vary slightly from the actual product.
Compatible with BMW E30 325i, E36 328i, E34 525i, E32 735i and BMW Z3 2.8 models equipped with 188mm medium case differential. Ideal upgrade for drifting, track use, drag racing and performance street driving.